當前位置: 主頁 > 新聞資訊 > 行業資訊 ? 久信達為您科普PC/NPET復合材料的制備與性能
作者:admin 閱讀量:892次 發表時間:2023-09-05 14:30
聚碳酸酯(PC)是一種綜合性能優良的熱塑性工程塑料[1],具有優異的電絕緣性,較高的耐熱性、耐寒性、尺寸穩定性及耐化學腐蝕性,在工程塑料中的用量位居第二,僅次于聚酰胺,被廣泛用于汽車、電子電氣、包裝、建筑材料、醫療等領域[2-4]。但PC分子鏈的剛性較大,空間位阻高,導致其柔韌性和流動性差,加工困難,因此在實際應用中,常常對PC進行改性[5-6]。PC改性的方法有很多,通常通過加入聚對苯二甲酸乙二酯(PET)、聚對苯二甲酸丁二酯(PBT)和聚丙烯(PP)等高聚物與PC熔融共混,來改變PC的性能不足。但通過現有改性方法制得的復合材料在性能提升上有其局限性,因此急需找到一種新的改性方法。筆者選擇細化到納米級的PET作為填料與PC熔融共混,以提升PC的綜合性能。PET不僅是重要的合成纖維原料,而且可用于制造薄膜,是包裝領域最具潛力的樹脂品種之一,其分子鏈柔韌性較高,具有熔體流動性較好等特點[7-8]。此外,納米PET (NPET)具有更大的比表面積、較好的耐熱性、較強的力學性能及流動性好等優點[9-12],將NPET與PC共混可以更好地實現聚酯材料的生產加工[13]。筆者以PET為原料,通過超聲化學沉積法制備了NPET[14-15],以PC為基材,不同比例的NPET為填料,采用熔融擠出法制備了PC/NPET的復合材料,并研究了PC/NPET復合材料的結晶性、相容性、熱穩定性以及力學性能等。
1實驗部分1.1 主要原材料PC:1302-10,韓國LG化學公司;PET:CR8863,華潤化學材料科技股份有限公司;六氟異丙醇:H107501,上海阿拉丁生化科技股份有限公司。1.2 主要儀器及設備轉矩流變儀:HAAKE Polylab OS型,美國賽默飛世爾科技公司;切粒機:LSQ-15型,上海科創橡塑機械設備有限公司;微量注塑機:RR/TSMP/B4型,上海威訊科技有限公司;電熱鼓風干燥箱:101-0AB型,林茂科技(北京)有限公司;激光粒度分析儀;90Plus型,美國布魯克海文公司;掃描電子顯微鏡(SEM):TM4000型,相確精密儀器(上海)有限公司;傅里葉變換紅外光譜(FTIR)儀:Spectrum One型,美國PE儀器公司;熱重(TG)分析儀:TGA Q500型,美國沃斯特公司;差示掃描量熱(DSC)儀:DSC Q200型,美國TA儀器公司;溫控式電子萬能材料試驗機:C54504型,美特斯工業系統(中國)有限公司;熔體流動速率(MFR)測試儀:XRL-400型,山東德瑞克儀器股份有限公司。1.3 樣品制備(1) NPET的制備。將20 g的PET在室溫條件下完全溶解在200mL的六氟異丙醇溶劑中,得到濃度為100 mg/mL的聚合物溶液。把得到的有機溶液緩慢滴加到180W超聲波條件下的冰浴冷卻的蒸餾水中,超聲5~10min。此過程中,聚合物溶劑迅速溶解到蒸餾水中,在空化作用下形成NPET粒子[16]。超聲結束后,將得到的聚合物溶液用旋轉蒸發儀蒸掉有機溶劑,再過濾掉存在的固體懸浮物,最后得到納米顆粒和蒸餾水的懸浮液,該方法得到的NPET的平均粒徑為84 nm,粒徑集中在60~100 nm。(2) NPET和PC材料的預處理。將NPET和PC嚴格按照質量比例混合均勻,放入烘箱中,在(100±10)°C條件下干燥12 h。(3) PC/NPET復合材料的制備。將干燥好的NPET和PC一起加入轉矩流變儀中,在(270±10)°C,60 r/min的條件下熔融共混。將得到的混合材料切粒后加入微量注塑機在(280±10)°C,120 MPa的條件下,注塑得到測試樣條,每組制備5根樣條。樣品配方見表1。

1.4 性能測試與表征粒度測試:通過激光粒度分析儀對利用超聲化學沉積法制備的NPET懸浮液在室溫條件下進行粒度測試。SEM測試:將PC/NPET復合材料進行液氮淬斷并對斷面噴金處理后,通過SEM對復合材料的淬斷面進行形貌分析。MFR測試:樣品質量控制在6 g以內,溫度設置為270 °C,預熱時間為4 min,切割間隔時間為15 s,測試5個切割樣品取平均值。FTIR測試:通過FTIR儀分析復合材料表面化學基團的變化,掃描次數為32次,掃描范圍為400~4000 cm-1。TG測試:樣品質量控制在5 mg以內,氮氣流速為20 mL/min,溫度范圍為25~800 °C,升溫速率為10 °C/min。DSC測試:樣品質量控制在5 mg以內,氮氣流速為50 mL/min,溫度范圍為25~200 °C,升溫速率為10 °C/min。力學性能測試:①室溫(25 °C)下,采用溫控電子萬能材料試驗機按照ISO 527-21BA測試復合材料拉伸性能,啞鈴型標準樣條,拉伸速率為20 mm/min。②缺口沖擊強度按照GB/T 1843-2008測試,沖擊能2 J,V型缺口,測試5個試樣取平均值。2結果與討論2.1 粒度分析經計算得出NPET的平均粒徑為84 nm,粒徑集中在60~100 nm,且分布較窄,達到了納米材料的要求,為后續測試提供了數據支持,粒徑分布見圖1。

2.2SEM和MFR分析NPET作為一種高分子聚合物,加入到PC中能夠影響PC/NPET復合材料的相容性和分散性等。圖2是PC,NPET,NPET-10,NPET-20,NPET-25和NPET-30復合材料的淬斷面在5000倍下的SEM圖。結合表2和圖2可以看出,純PC內部粒子的結合不夠緊湊,流動性較差,當NPET質量分數低于25%時,隨著NPET含量的增加,復合材料的相容性和流動性得到改善,這可能是因為隨著NPET含量的提高,PC發揮了成核劑的作用,復合材料的晶體結構得以改善。從圖2e可以看出,當NPET質量分數達到25%時,復合材料已經出現團聚現象,在其質量分數達到30%時,團聚現象加重,這可能會影響復合材料的性能提升,具體情況需要后續分析驗證。

通過公式(1)計算得到MFR。W表示切取樣條質量的算數平均值;t表示切樣的間隔時間,具體數值見表2。

3FTIR分析圖3為PC/NPET復合材料的FTIR譜圖。從圖3可以看到,NPET與PC熔融共混后制得的復合材料保留了PC的特征峰,但PC/NPET復合材料在1780 cm-1處特征峰的峰寬變窄且峰面積變小,這可能是因為PC在兩種聚合物之間發生了結晶成核作用,導致復合材料在1780 cm-1處的特征基團發生了變化,結合圖2可以看到,復合材料的相界面的相容性更好,這也表明NPET和PC已經開始混合。圖中2966 cm-1處為—CH3的不對稱伸縮振動峰,隨著NPET含量的增加,2966 cm-1的特征峰開始向波數小的方向偏移,這可能是因為在復合材料中2966cm-1處的—CH3的吸收強度增加,導致該處特征峰發生偏移。1502 cm-1處的振動吸收峰是—C6H5的特征吸收峰,1227,1194 cm-1和1161 cm-1處為PC的3個并列的強吸收峰。此外,可以看到復合材料出現了NPET特有的特征峰,且隨著NPET含量的增加,該特征峰特征越明顯,對比圖3a和圖3b可以發現,當NPET質量分數達到5%時,復合材料在727 cm-1處的特征峰也出現了類似的偏移,這是因為熔融共混后復合材料的相互作用增強,導致該處的—CH吸收強度增加,從而出現了特征峰的偏移,在相關文獻中也有類似報道[17-19]。且質量分數30%的NPET復合材料在727 cm-1的特征峰比其他比例處更寬,這可能是因為在熔融共混時,復合材料的分子鏈相互作用減小了能量的轉移率。PC及PC/NPET復合材料的FTIR振動峰歸屬列于表3。

2.4TG分析圖4是不同比例的PC/NPET復合材料的TG曲線。具體配比見表4。結合圖4和表4可以看出,隨著NPET含量的增加,復合材料的熱穩定性逐漸降低,NPET比例從0增加到30%,而熱分解溫度則從364 °C降低到了349 °C,這說明NPET的加入降低了共混體系的熱穩定性,比例越高,分解溫度越低,這可能是因為隨著NPET含量的增加,復合材料的鏈段結構和官能團發生了變化,從而降低了復合材料的分解溫度。此外,從表4可以看到,隨著NPET含量的增加,復合材料的殘炭率獲得了較大提升,NPET比例從0增加到30%,而殘炭率則從9.64%增加到了20.12%,這可能是因為PC和NPET均有較高的殘炭率,且PC在降解過程中形成了不穩定片段,與NPET的分子鏈進一步反應生成聚芳烴等,較高的聚芳烴限制了復合材料在較低的溫度下轉化成更多的揮發物,導致了殘炭率提高[17]。綜上,隨著NPET含量的增加,PC/NPET復合材料的熱穩定性較PC均有所降低,殘炭率有所增加,與FTIR分析結論一致。


2.5DSC分析圖5是PC/NPET復合材料的DSC降溫和二次升溫曲線。從圖5可以看出,隨著NPET含量的增加,復合材料的結晶溫度(Tc)和熔融溫度(Tm)發生轉變,復合材料的Tc先增大后減小,這是因為隨著NPET含量的增加,復合材料的分子間作用力增強,使其結晶溫度增大,但當NPET比例達到25%時,因為復合材料開始出現團聚,因此結晶溫度表現為先增大后減小。Tm逐漸減小,這表明NPET與PC熔融共混會降低其熔融溫度,降低復合材料的熱穩定性,與TG分析一致。通過公式(2)可以計算出復合材料的結晶度,χPC/NPET為復合材料的結晶度,?HPC/NPET為復合材料的結晶焓,?H100%為PC在100%結晶度時的結晶焓,具體的數值見表5。從表5可以看出,在加入NPET后,復合材料的結晶度先增大后減少,說明加入NPET與PC熔融共混能夠改善復合材料的結晶性能

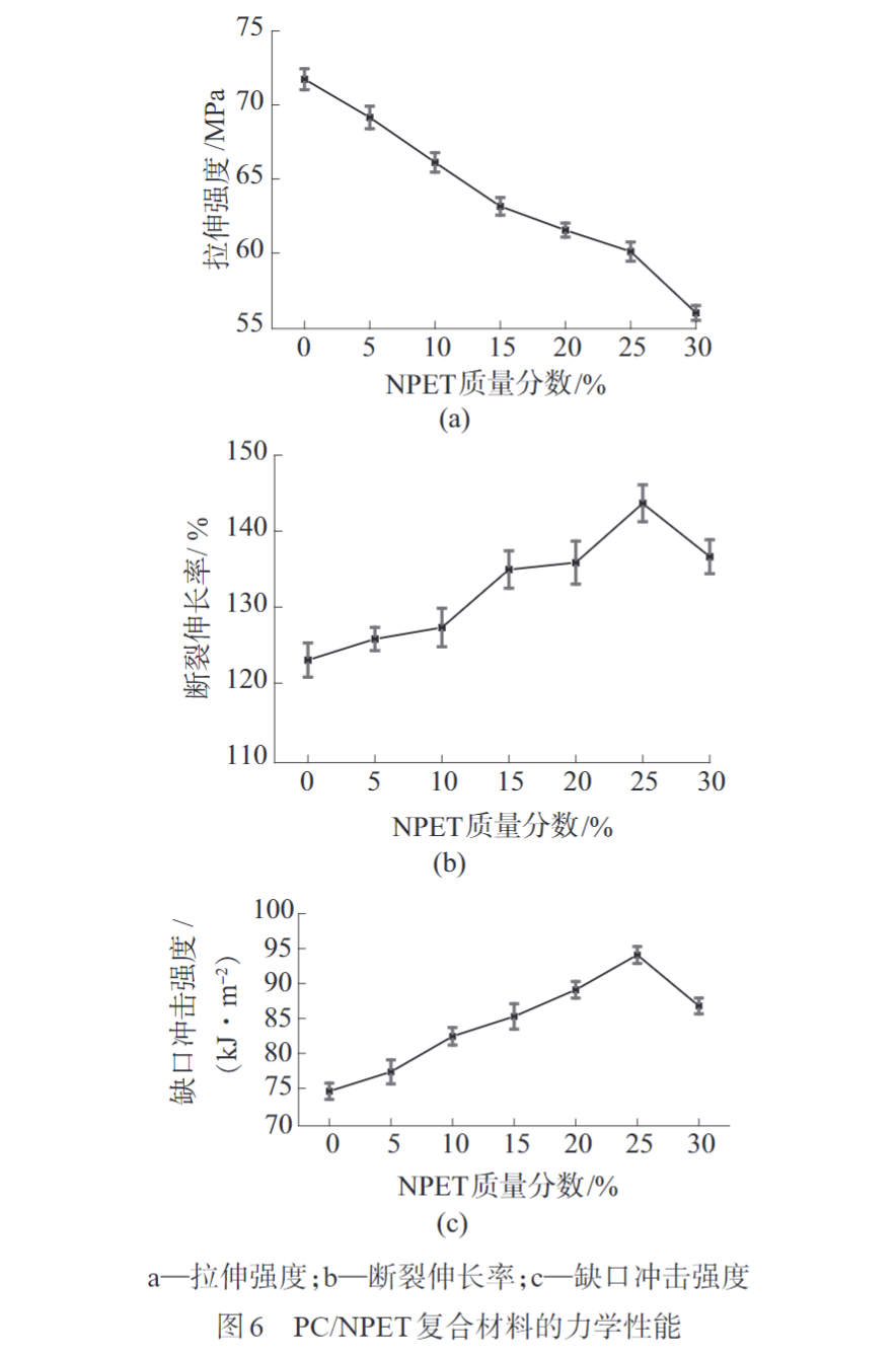
2.6 力學性能分析圖6是PC/NPET復合材料的力學性能。從圖6可以看出,PC/NPET復合材料的斷裂伸長率和缺口沖擊強度變化趨勢一致,均為先增大后減小,在NPET質量分數為25%時最大,PC/NPET復合材料的斷裂伸長率和缺口沖擊強度達到最大,分別較純PC增加了20.53%,19.52 kJ/m2,但在NPET質量分數超過25%后,斷裂伸長率和缺口沖擊強度都出現了下降,這可能是因為在NPET含量達到一定比例后,復合材料的團聚現象影響了其性能的進一步提升。此外,從圖6可以看出,隨著NPET含量的增加,PC/NPET復合材料的拉伸強度逐漸降低,且在NPET質量分數超過25%后下降幅度更大,同樣說明了復合材料的團聚現象會影響其拉伸強度,這可能減小了復合材料分子鏈間界面作用力,因而導致復合材料的拉伸強度降低。綜上所述,NPET與PC熔融共混能改善復合材料的力學性能,綜合考慮在NPET質量分數為25%時,力學性能最優

3結論(1)粒度分析表明,NPET的平均粒徑為84nm,達到了納米材料的要求。(2)SEM和MFR分析表明,NPET的加入改善了PC流動性差的問題,但在其質量分數超過25%后,復合材料的團聚現象加重。(3)FTIR分析表明,隨著NPET含量的增加,PC/NPET復合材料的特征峰發生偏移且強度增強。(4)TG分析表明,隨著NPET含量的增加,PC/NPET復合材料的熱穩定性較PC均有所降低。(5)DSC分析表明,NPET的加入會降低復合材料的結晶度,隨著NPET含量的增加,復合材料的Tc先降低后增加,Tm逐漸減少。(6)力學性能分析表明,PC/NPET復合材料的斷裂伸長率和缺口沖擊強度先增加再減小,拉伸強度降低,綜合填充量和力學性能考慮,最佳配比為:mPC/mNPET =75/25,此時斷裂伸長率較純PC增加了20.53%,缺口沖擊強度增加了19.52 kJ/m2
摘要:工程塑料應用